TEL:400-0808-137
Business:0531-88934846
E-mail:sales@hl-asia.com
ADD:Building D, CBD Central Plaza, Lixia District, Jinan City

| Product Name: | DL-Choline Bitartrate | ||
| Alias: | (2-Hydroxyethyl)Trimethylammonium | ||
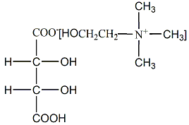
| Formula | C9H19NO7 | ||
| CAS: | 87-67-2 | ||
| Formula weight | 253.25 | ||
| Product Specifications: | Food Grade, Pharmaceutical Grade | ||
| Assay(calculated on the anhydrous basis) | 98.5%-100.5% | ||
| Particle Size | 20Mesh,40Mesh,60Mesh,80Mesh | ||
| Packaging Specifications | 25kg/drum | ||
physical property
White hygroscopic crystalline powder, with a sour taste, odorless or a faint trimethylamine smell. It is freely soluble in water, slightly soluble in ethanol, and insoluble in ether, chloroform and benzene"
Product application
D(-)Choline Bitartrate is the D(-)-hydrogen tartrate salt of choline with a choline content of 40%. It is a highly efficient and non-toxic salt with no toxic or side effects on the human body, acting as a nutritional supplement and lipotropic agent. It can promote fat metabolism and prevent fat accumulation in the liver, and as a vitamin-based product, it is widely used as a nutritional additive in pharmaceuticals, health supplements and food products."
Molecular structure
