TEL:400-0808-137
Business:0531-88934846
E-mail:sales@hl-asia.com
ADD:Building D, CBD Central Plaza, Lixia District, Jinan City

| Product Name: | Iron Choline Citrate |
| Alias | |
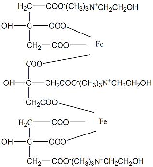
| Formula | C33H57N3O24Fe2 |
| CAS: | |
| Formula weight: | 991.71 |
| Product specification | Food grade、Pharmaceutical grade |
| Assay(Dry Basis) | ≥98% |
| Granularity | 220Mesh |
| packing specification | 225kg/Drum |
Physical property
This product is a yellowish-green powder with a salty taste.
Product application
Iron Choline Citrate is an iron-containing B-complex vitamin of the choline class. As an organic iron nutritional supplement, it plays a crucial role in the prevention and treatment of iron-deficiency anemia, as well as in the prevention and management of cardio-cerebrovascular diseases and fatty liver disease. This product is mainly applied in anti-anemia pharmaceuticals, pharmaceuticals for the prevention and treatment of cardio-cerebrovascular diseases, and health products.
Molecular structure
